Beth Hallel "House of Praise" Messianic Fellowship

Shalom and Welcome!

Menu

Skip to content
  • Home
  • About Us
  • Statement of Beliefs
  • Video Teachings
  • Study Resourses
  • Festivals and Events
  • Magen David Adom Israel: EmergencyMedical Response
  • Directions Medical Clinic Updates

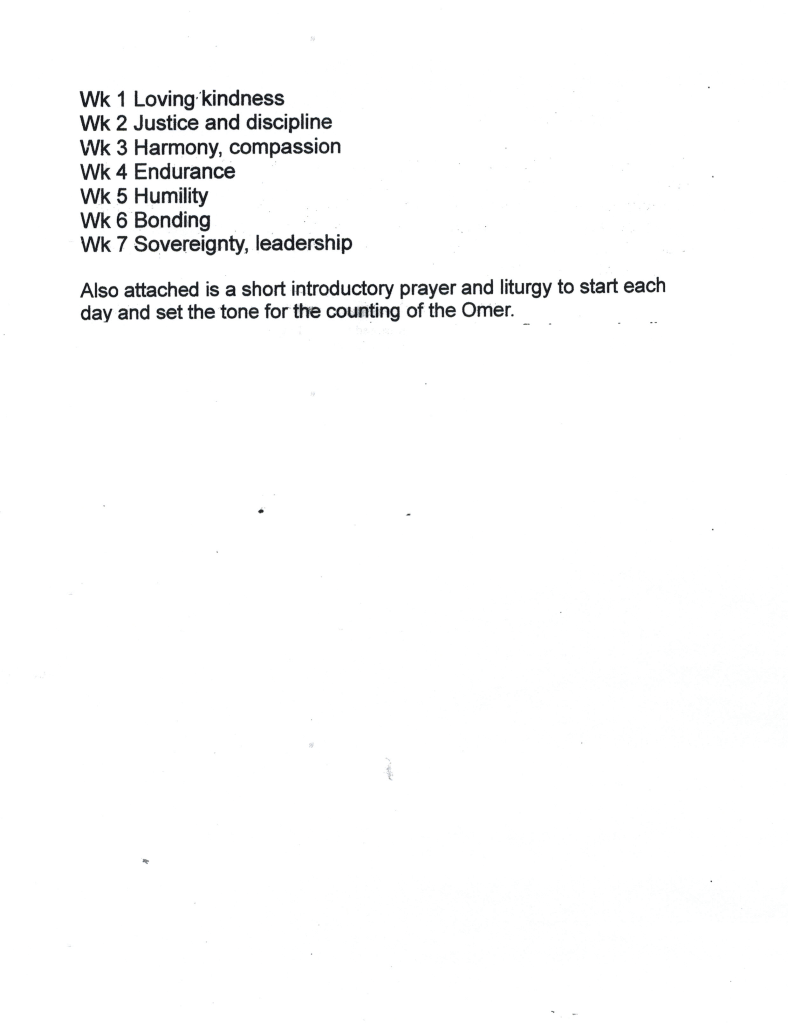
Counting the Omer

Share this:

  • Email a link to a friend (Opens in new window) Email
  • Print (Opens in new window) Print
Like Loading...
Blog at WordPress.com.
  • Subscribe Subscribed
    • Beth Hallel "House of Praise" Messianic Fellowship
    • Join 30 other subscribers
    • Already have a WordPress.com account? Log in now.
    • Beth Hallel "House of Praise" Messianic Fellowship
    • Subscribe Subscribed
    • Sign up
    • Log in
    • Copy shortlink
    • Report this content
    • View post in Reader
    • Manage subscriptions
    • Collapse this bar
 

Loading Comments...
 

    %d